정의
한 단어를 다른 하나로 바꾸기 위해 글자를 수정(edit)해야 하는 횟수를 계산하여 유사도를 판단하는 것을 edit distance라고 한다. edit operation을 어디까지 1개로 볼 것인가에 따라 여러가지 알고리즘이 있는데 Levenshtein에서는 글자의 삽입(insertion), 제거(deletion), 대체(substitution) 3가지를 1번의 edit으로 본다.
예를 들면, lev(”hello”, “shallow”) = 3이다.
insertion 2번 (제일 앞에 s 추가, 마지막에 w 추가)과 substitution 1번 (e→a)
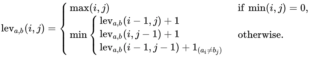
직관적으로 값을 구하는 것은 쉽지만, 어떻게 코드로 어떻게 구현해야할지 언뜻 생각해보면 꽤나 생각해볼 게 많은 문제임을 알 수 있다. 아래는 엄밀하게 표현한 수학적 정의.

- head는 단어의 첫 글자, tail은 head를 뺀 나머지
- a의 길이가 0이면 0, b의 길이가 0이면 0
- head가 동일하면, tail끼리 lev dist를 구한다.
- head가 같지 않다면, 1을 더하고 어떤 edit을 해야 하는 경우인지 확인한다.
(from “a” to “b”로 생각)- lev(tail(a), b)가 가장 작음 → a의 head를 delete
- lev(a, tail(b))가 가장 작음 → a의 head에 insert
- lev(tail(a), tail(b))가 가장 작음 → a의 head를 substitute
- 이를 반복해 나간다.
알고리즘 구현
Naive recursive
위 정의 그대로 recursive하게 구현한다…;; 매 글자마다 edit 후 뒤에 오는 문자열 조합의 lev dist를 모두 계산해봐야 하기 때문에 중복 계산이 매우 많이 발생한다.
Python code
def levenshtein_naive(x:str, y:str, print_en:bool):
x = list(x)
y = list(y)
score = 0
while True:
if x == y :
break
else:
x_org = ''.join(x)
y_org = ''.join(y)
x_tail = ''.join(x[1:])
y_tail = ''.join(y[1:])
if len(x) == 0 and len(y) > 0 : # only X has string
for _ in range(len(y)):
score += 1
if print_en : print(f"x_head : | y_head : {y[0]} --> EDIT (INSERT)")
y = y_tail
break
elif len(y) == 0 and len(x) > 0 : # only Y has string
for _ in range(len(x)):
score += 1
if print_en : print(f"x_head : {x[0]} | y_head : --> EDIT (DELETE)")
x = x_tail
break
elif x[0] == y[0]:
if print_en : print(f"x_head : {x[0]} | y_head : {y[0]} --> SAME")
x = x[1:]
y = y[1:]
else:
score += 1
delete = levenshtein_naive(x_tail, y_org, False)
insert = levenshtein_naive(x_org , y_tail, False)
substitute = levenshtein_naive(x_tail, y_tail, False)
if delete < insert and delete < substitute:
if print_en : print(f"x_head : {x[0]} | y_head : --> EDIT (DELETE)")
x = x_tail
y = y_org
elif insert < delete and insert < substitute:
if print_en : print(f"x_head : | y_head : {y[0]} --> EDIT (INSERT)")
x = x_org
y = y_tail
else: #if substitute < delete and substitute < insert:
if print_en : print(f"x_head : {x[0]} | y_head : {y[0]} --> EDIT (SUBSTITUTE)")
x = x_tail
y = y_tail
return score
Wagner-Fischer algorithm (Iterative with full matrix)
첫 번째 방법의 redundant calculation을 피하기 위하여 Dynamic programming 을 이용해 최적화한 알고리즘. flood filling 방식으로 모든 prefix들 사이의 edit distance를 구해 matrix를 완성한다. 마지막 계산값이 full string의 distance가 된다.
Matrix filling 방법
0) Distance matrix의 구성은 아래와 같다.

- Matrix size : {word1의 length}+1 x {word2의 length}+1
- 각 dimension의 첫 칸을 null을 위해 비운다.
- lev(i,j) : matrix (i, j)의 값은 X[0:i]를 Y[0:j]로 바꾸기 위해 필요한 edit 횟수를 의미한다.
1) 0-th row/col 채우기 (optimal substructure의 초기값)

- 두 문자열 모두 첫 글자는 항상 null이므로, lev(0,0)는 항상 0이다.
- 0-th row : null이 Y[0:j]가 되려면 j만큼 insert해야 한다. 따라서, lev(0, j)는 항상 j 이다.
- 0-th col : X[0:i]가 null이 되려면 i만큼 delete해야 한다. 따라서, lev(i:0)는 항상 i 이다.
⇒ 어떤 문자열이던 항상 lev(i,0) = i , lev(0:j) = j으로 초기화된다. 이렇게 항상 정해진 값을 가지는 첫 행과 열은 점화식 형태를 가지는 dynamic programming에서 초기값의 역할을 하게 된다.
2) 2x2 행렬을 반복해서 채워가기

- 위 규칙에 따라 distance matrix을 왼쪽 위부터 오른쪽 아래 방향으로 채워나간다.
- 초기값을 채워 놓았기 때문에 구하려는 값을 (1,1)로 가지는 2x2 matrix의 나머지 값을 모두 알 수 있다.
- lev(i-1, j) + 1 : 2x2에서 우상단 값 + 1. delete하는 경우.
- lev(i, j-1) + 1 : 2x2에서 좌하단 값 + 1. insert하는 경우.
- lev(i-1, j-1) +1
- X[i] = Y[j] 이면, 2x2에서 좌상단 값을 그대로 가져온다. edit이 필요없는 경우.
- X[i] ≠ Y[j] 이면, 2x2에서 좌상단 값 + 1. substitute하는 경우.
- (예시) lev(1, 1)
X[1] ≠ Y[1] → lev(1,1) = min(lev(0,1) + 1, lev(1,0) + 1, lev(0,0) + 1 = min(2, 2, 1) = 1

- (예시) lev(1, 2)
X[1] = Y[2] → lev(1,2) = min(lev(0,2) + 1, lev(1,0) + 1, lev(0,1) = min(3, 2, 1) = 1

- 완성된 distance matrix. 가장 마지막 값이 최종 Levenshtein distance가 된다.

Python code
def levenshtein_dp(x:str, y:str, print_en:bool):
x = list(x)
y = list(y)
# 0) Create distance matrix
x.insert(0, " ")
y.insert(0, " ")
row = len(x)
col = len(y)
lev = [[0 for _ in range(col)] for _ in range(row)]
# 1) Fill 0-th row/col (optimal substructure initialization)
for i in range(row):
lev[i][0] = i
for j in range(col):
lev[0][j] = j
# 2) Full matrix filling
for i in range(1, row):
for j in range(1, col):
delete = lev[i-1][j] + 1
insert = lev[i][j-1] + 1
sub_or_same = lev[i-1][j-1] + (x[i]!=y[j])
if delete < insert and delete < sub_or_same:
if print_en : print(f"x_head : {x[i]} | y_head : --> EDIT (DELETE)")
lev[i][j] = delete
elif insert < delete and insert < sub_or_same:
if print_en : print(f"x_head : | y_head : {y[i]} --> EDIT (INSERT)")
lev[i][j] = insert
else:
if print_en and x[i]==y[j] : print(f"x_head : {x[i]} | y_head : {y[j]} --> SAME")
if print_en and x[i]!=y[j] : print(f"x_head : {x[i]} | y_head : {y[j]} --> EDIT (SUBSTITUTE)")
lev[i][j] = sub_or_same
# 3) Final distance
for r in lev : print(r)
score = lev[row-1][col-1]
return score
Naive vs. Dynamic programming 결과 비교
# Dynamic programming
## Distance matrix
[0, 1, 2, 3, 4, 5, 6, 7]
[1, 1, 1, 2, 3, 4, 5, 6]
[2, 2, 2, 2, 3, 4, 5, 6]
[3, 3, 3, 3, 2, 3, 4, 5]
[4, 4, 4, 4, 3, 2, 3, 4]
[5, 5, 5, 5, 4, 3, 2, 3]
edit distance (dp) = 3 | execution time = 0.0008s
Current memory usage: 0.0026 MB; Peak: 0.0130 MB
# Naive recursive
## edits
x_head : | y_head : s --> EDIT (INSERT)
x_head : h | y_head : h --> SAME
x_head : e | y_head : a --> EDIT (SUBSTITUTE)
x_head : l | y_head : l --> SAME
x_head : l | y_head : l --> SAME
x_head : o | y_head : o --> SAME
x_head : | y_head : w --> EDIT (INSERT)
edit distance (naive) = 3 | execution time = 0.0244s
Current memory usage: 0.0095 MB; Peak: 0.0199 MB
- execution time이 naive recursive 대비 dp가 매우 작은 것을 확인할 수 있다.
- Memory usage 역시 dp가 살짝 작다.
Reference
https://en.wikipedia.org/wiki/Levenshtein_distance#Recursive
https://en.wikipedia.org/wiki/Edit_distance
https://en.wikipedia.org/wiki/Wagner–Fischer_algorithm
https://blog.paperspace.com/measuring-text-similarity-using-levenshtein-distance/
⚠️ Disclaimer 혼자 공부한 내용을 정리한 글이므로 잘못된 내용이 있을 수 있습니다.
틀린 내용이나 더 좋은 방법이 있는 경우, 댓글로 알려주시면 업데이트하겠습니다.
'Data Science' 카테고리의 다른 글
| [DSA 101] 4. Sorting (0) | 2025.04.15 |
|---|---|
| [DSA 101] 3. Iteration vs. Recursion (0) | 2025.04.13 |
| [DSA 101] 2. Searching algorithm (0) | 2025.04.13 |
| [DSA 101] 1. Computation Complexity와 Big-O (1) | 2025.04.13 |